展開全部
收起全部
-
技術特性
● 當壓力超過設定彈簧開啟壓力,油流則自由通過,
反 方向則完全不能通過,可作為冷卻器及回油濾油
器的安全裝置。
● 重力型單向閥可作為其他控制閥的外部導壓以維持
其他控制閥的正常動作。
● CRNG 系列安裝尺寸符合 ISO-5781 標準。 -
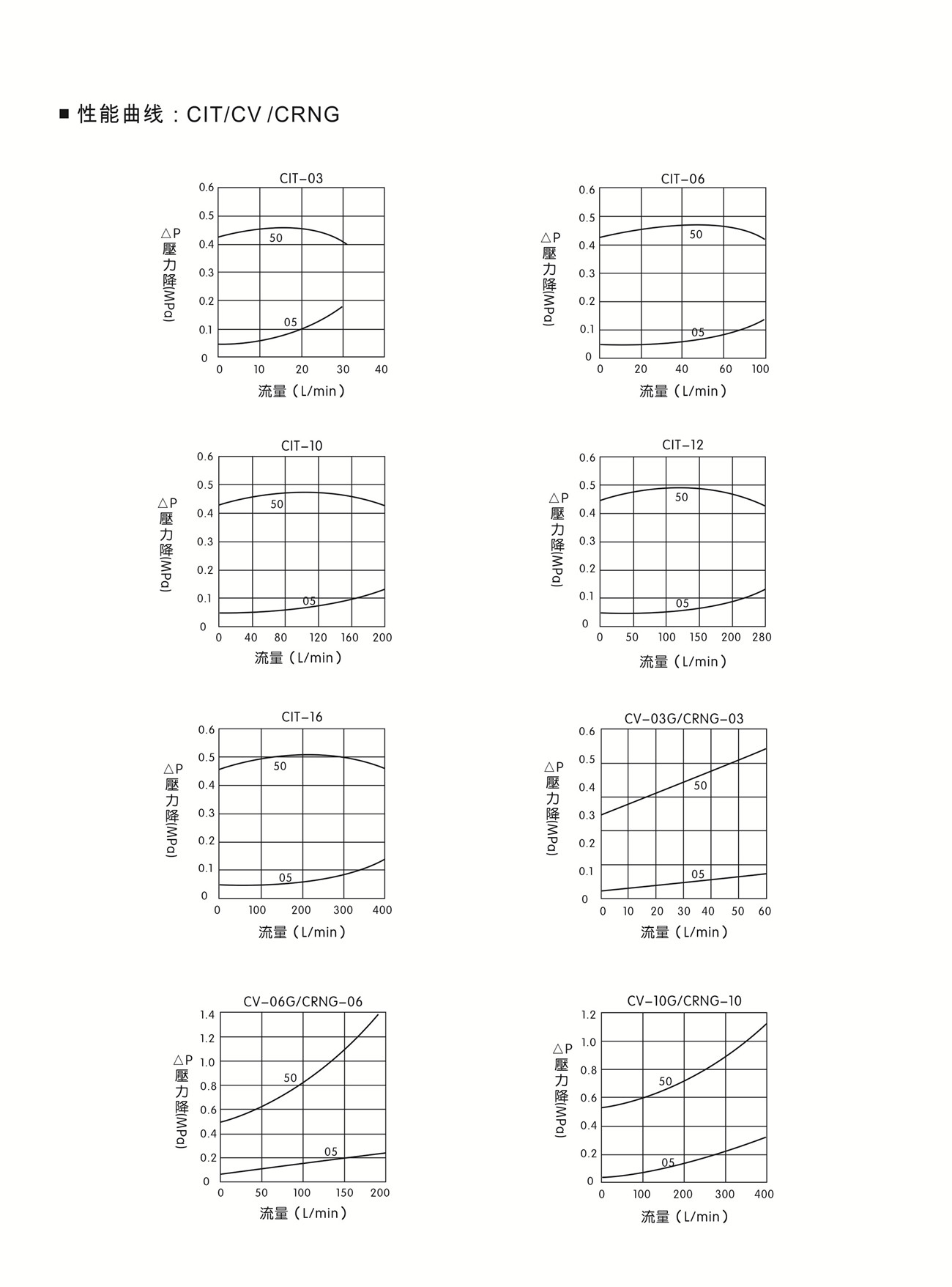
技術曲線
-
技術參數
文件下載
PDF文件相關輔件






